IGI India A Global Leader in Diamond Certification with Unmatched Market Presence

Interesting classification by GIA.

Pricing at par with IGI now. Lets see how this unfolds

The fee for GIA Laboratory-Grown Diamond Quality Assessment is US$15 per carat, with a minimum of fee of US$15. Submissions that do not meet the minimum criteria for assessment will be charged a US$5 evaluation fee. The minimum size for submission is 0.15 carats. Each submitted stone’s girdle will be laser inscribed with the term “Laboratory-Grown” and the GIA quality assessment number. A printed document with the assessment results will be returned with each laboratory-grown diamond.

5 Likes

IMO
In the next 18–24 months, expect a bifurcation: GIA will own prestige lab-grown, IGI will own volume mass-market.
Long term, the pricing spread KPI (GIA Premium vs IGI Standard) will determine who captures real economic value.

2 Likes
2 Likes

As diamonds lose their status as reliable investments due to oversupply, especially in lab-grown stones, and declining resale values fewer consumers and jewelers will purchase diamonds, any thoughts?

Think this way any customer want to purchase any ornament having diamond in it whether it is an lab grown or real diamond..they want a certificate as basis of trust as per my knowledge any stone that u purchase they are having certificate for it …I don’t think so lab grown diamonds lose resale value

1 Like

Did they provide any data to back up their claims?

lol she’s also the Chief Trade and Industry Officer at De Beers Group as per her linked in profile.
of course she’ll say this :rofl:

6 Likes

Marketing, Image destruction War on LGDs is going on from the ND stakeholders. Interesting to see how long NDs can stop the flood of Low priced high quality LGDs.

3 Likes

Disclaimer

Based on public information, mostly available in prospectus
All analysis is pre listing (a year back)
Mostly focussed on creative accounting pre/post IPO than on business.
Not having a Position / Not a recommendation

It appeares that Blackstone acquired IGI primarily to capitalize on the IPO wave rather than for long‑term strategic ownership.

The company was founded by the Lorie family in Belgium in 1975, with its India division likely established in 1999. In 2018, the majority stake (80%) was sold to China’s Fosun Group through Alpha Yu Holding, while the Lorie family retained a 20% share. In mid-2023, Blackstone acquired the entire company for approximately USD 569.65 million (₹4673 crore) including the separted and later acquired original divisions of Netherlands and Belgium.

According to the prospectus, the India division, along with its Turkish subsidiary, was valued at ₹3328 crore, with the payments split 80:20 between Fosun Group and the Lorie family. The remaining ₹1446 crore was allocated to operations held through IGI in the Netherlands and Belgium. Over the 15 months since acquiring IGI (India), Blackstone has taken out around ₹217 crore in dividends from the Indian subsidiary (Pre IPO).

Blackstone appeared to have readied the group for an IPO by emphasizing headline accounting growth and structuring exits by listing divisions rather than the entire company at once. The India entity proceeded with an IPO comprising an offer for sale and a “fresh issue.” However, the “fresh” proceeds were primarily earmarked for acquiring IGI Netherlands and IGI Belgium from the promoter group, which were separate before IPO, effectively routing IPO funds back to the promoter.

If the prices go high, They are likely to exit with a much high payout . It seems like a major win for them. That’s how you make money out of bubble, if you are as big as blackstone.

Diamond industry growth has been primarily dependend on exports to US/Europe and it was already struggling for multiple reasons including but not limited to slowdowns, restrictions on russian origin diamonds etc, and the problems accelerated with Trump Tariffs.

In summary,

acquire a European entity with India subsidiary, separate the India subsidiary and list at very high valuation given the mania in name of growth, acquire the rest of company by Indian subsidiary to show high growth for a year or two (depending on how it is structured) and make a handsome profit because Indian investors (including institutional ones) were/are ready to pay any price in name of growth. Basically Blackstone bought 76% of company for free.

It also begs the question, how a business becomes worth multiple times just because you list in India, without any signficant real improvement. How did something worth ₹ 3228 Crore became worth ₹ 16546 Crore (@417 per share), or even worth more (if taking listing/post listing prices) after taking out 217 crore as dividend in one year only? [There is another embedded assumption that Fosum group sold the belgian (original) company at fair price given they are also a big PE invester]

Blackstone acquistion accounting split

Entity Total Consideration (U.S.$ M) Total Consideration (₹ Crore)
IGI (India) 393.45 3228.05
IGI Netherlands and IGI Belgium 176.20 1445.64
Total 569.65 4673.69
11 Likes

If it is now reasonably valued, it means Blackstone found a bargain a couple of years ago. If it is expensive now, retail investor got fooled by Blackstone. Interesting part is Valuation is future perspective dependent. So time will tell, what is right, what is wrong. As of now, definitely Blackstone is smart.

2 Likes

Titan was skeptical on LGDs before but now with Titan entering into LGDs with more store opening in pipeline we can see the giants are acknowledging it but only time will tell LGDs will be successful or not in India.

and if it turns out to be successful then IGIL will be the beneficiary as it has near monopoly in the market for certification of diamonds.

11 Likes

Success of LGD doesnt necessarily mean success for IGI.
In terms of market:

  1. LGDs are moving towards taking the CZ (Fake Diamond) Market rather than Natural market.
    If this happens, certifying isn’t all that necessary for jewelers (Basic Fake vs LGD certifying is low-cost.
  • Another aspect is whether Jewelers prefer buying certified stones, or certifying the whole jewellery as a blanket certificate.
  1. Also, GIA has started certifying at the same price as IGI, but giving a general category (Good/Bad quality).
    GIA certification standards are much more stringent (Always 2 notches higher)
    ex: IGI grade F color is considered H or maybe G for GIA. Which means GIA stones are more valuable.

We have a long way to go for IGI, it’ll be interesting to see how things pan out.

3 Likes

I think you are absolutely correct and I don’t know about the competitive landscape either.
The most problematic point for LGD’s certification companies should be further deterioration in the prices of LGD’s as it can hamper the need for it’s certification because something which is already cheap and further cheapness would eliminate the need of certification.

The only positive for the industry as well as IGIL could be the stability in the prices of LGD’s which would reinforce consumer confidence which would increase it’s demand and vice-a-versa for certification of LGD’s.

It can be then a high growing market as it is in USA.

2 Likes
  1. LGD certification is mainly needed in B2B, not in B2C.
    Retail customers usually pay less for LGD. They care about design and price, not certificates.
  2. In B2C, customers trust the brand.
    If the brand says the product is good, that is enough. No certificate needed.
  3. But B2B is different.
    Example. Titan buys finished LGD jewelry from Sky Gold.
  4. Titan is selling that LGD to end customers.
    So Titan needs to be sure about quality, consistency, and credibility.
  5. That is where LGD certification becomes important.
    It reduces risk and protects the brand.
  6. Now coming to IGI.
    IGI is not a price game. It is a volume game.
  7. LGD has now become a commodity.
    When something is a commodity, margins shrink and differentiation disappears.
  8. In a commodity business, pricing power does not sit upstream.
    It sits with whoever adds maximum value.
  9. In the LGD value chain, pricing power is with B2C brands.
    They control branding, distribution, and customer trust.
  10. This is classic commodity .
    The one who adds value gets pricing power and builds a MOAT. IGI does not control the brand or the customer.
    So IGI has no pricing power. What IGI does have is a MOAT through scale and trust.
    High volumes, industry acceptance, and switching costs
6 Likes

I beg to differ, if the LGD is getting cheaper and cheaper, how will the customers differentiate between two “cheap” stones :) , they still don’t want to throw their money out, so here where certification will come to play, to have peace of mind, people will willingly go for certification as in my case even for a small emerald stone , i went for a certification, i am paying 5k-10k for a stone, so i better know the stone is actually what they claim.

3 Likes

so what is the problem here two companies have different calibration techniques, doesn’t mean that one is better than the other, so in this case if IGI marks the same stone a notch or two lower does that mean that their process is stringent?

so the certification will be done for natural diamonds because something which is so volatile and infact not even volatile but in a declining phase why would someone buy? they would just wait for it to stabilize and too cheap price will not require certification for LGD’s but for natural diamond it will be there and as for Natural Diamonds certifications are already there so there is no incremental demand.

1 Like

You need to understand the manufacturers make only Decent++ quality stones in LGD.

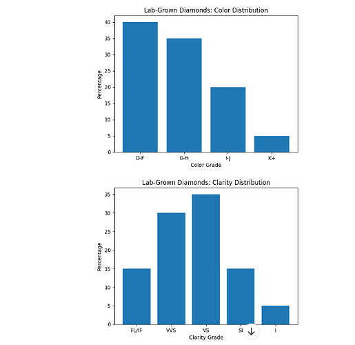
Attaching basic search results in Chatgpt.

Right now the information with consumers is not much about LGDs. But as and when things grow and open up, end users will realise LGD has a very narrow range of stones.
Once you know that a Lab grown stone will most certainly be good, you won’t require a certificate.
All you need is IGI telling you if the stone is LG or AZ and whether its a good quality stone or bad (Similar to GIA cert)

1 Like

Yes, in layman terms GIA’s stds are narrower compared to IGI.
Ex: 1ct Round stn, same cut, color, clarity and carat.

  1. IGI Certified:

  2. GIA Certified: